Cambridge QMC library
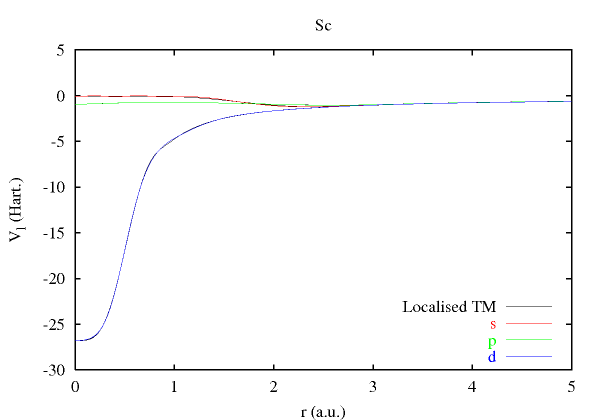
  TM - Tabulated, `localised' Troullier-Martins type Pseudopotential2
s,p, and d - Gaussian expansion of `localised' Pseudopotential1