line

Cambridge QMC library

fig

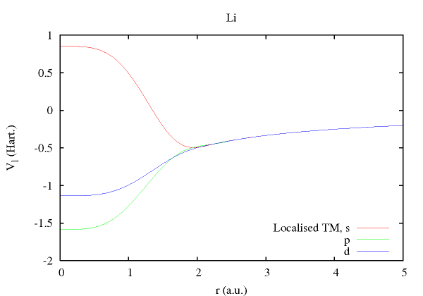
  Tabulated, `localised' Troullier-Martins type
Pseudopotential2

line