line

Cambridge QMC library

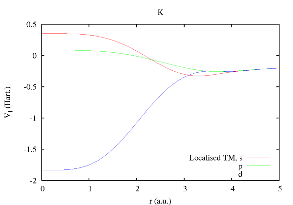
fig

  Tabulated, `localised' Troullier-Martins type
Pseudopotential2

line