line

Cambridge QMC library

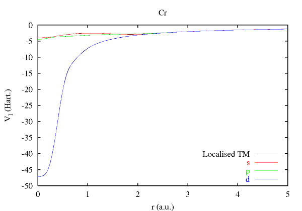
fig

  TM - Tabulated, `localised' Troullier-Martins type
Pseudopotential2

s,p, and d - Gaussian expansion of `localised' Pseudopotential1

line